polisacáridos sulfatados derivados de algas; Los quimiopreventivos de la nueva era: una revisión completa

Sep 22, 2023

Resumen sencillo: Los polisacáridos sulfatados son potentes agentes quimioterapéuticos o quimiopreventivos que tienen propiedades anticancerígenas al aumentar la inmunidad e impulsar la apoptosis en varias líneas celulares cancerosas. Los polisacáridos sulfatados tienen importantes potenciales antioxidantes e inmunomoduladores, lo que contribuye a su eficacia preventiva de enfermedades con baja citotoxicidad y buenos resultados terapéuticos de eficacia en el cáncer mediante la modulación dinámica de la apoptosis. Además, puede utilizarse como complemento dietético o como tratamiento coadyuvante contra el cáncer.

effects of cistance-antitumor

Beneficios de la cistanche tubulosa-Antitumoral

Abstracto: Los compuestos bioactivos derivados de las algas se emplean habitualmente para tratar enfermedades humanas. Los polisacáridos sulfatados son potentes medicamentos quimioterapéuticos o quimiopreventivos desde que se descubrieron. Han exhibido propiedades anticancerígenas al mejorar la inmunidad e impulsar la apoptosis. A través de la modulación dinámica de vías críticas de señalización intracelular, como el control de la generación de ROS y la preservación de los procesos esenciales de supervivencia y muerte celular, los potenciales antioxidantes e inmunomoduladores de los polisacáridos sulfatados contribuyen a su eficacia preventiva de enfermedades. Los polisacáridos sulfatados proporcionan resultados terapéuticos de baja citotoxicidad y buena eficacia mediante la modulación dinámica de la apoptosis en el cáncer. Comprender cómo los polisacáridos sulfatados afectan a las células cancerosas humanas y su participación molecular en las vías de muerte celular mostrará una nueva forma de quimioprevención. En esta revisión, se ha enfatizado la importancia de la apoptosis y los polisacáridos sulfatados moduladores de la autofagia, así como la dirección futura de la nanoformulación mejorada para una mayor eficacia clínica. Además, esta revisión se centra en los hallazgos recientes sobre los posibles mecanismos del uso quimioterapéutico de polisacáridos sulfatados, su potencial como fármacos anticancerígenos y los mecanismos de acción propuestos para impulsar la apoptosis en diversas neoplasias malignas. Debido a sus propiedades fisicoquímicas y biológicas únicas, los polisacáridos sulfatados son ideales por sus ingredientes bioactivos, que pueden mejorar la función y la aplicación en enfermedades. Sin embargo, existe una laguna en la literatura sobre las propiedades y funcionalidades fisicoquímicas de los polisacáridos sulfatados y el uso de sistemas de administración basados ​​en polisacáridos sulfatados en el cáncer funcional. Además, los ensayos preclínicos y clínicos revelarán la eficacia del fármaco en el cáncer.

Palabras clave: apoptosis; cáncer; quimioprevención; polisacáridos sulfatados

1. Introducción

La actual explosión demográfica mundial y los cambios en las prácticas dietéticas y de estilo de vida se consideran factores críticos para la aparición de enfermedades. Numerosas enfermedades provocadas por infecciones, junto con el Alzheimer, el Parkinson, la diabetes, el cáncer y otros trastornos neurológicos, suponen un grave riesgo para la vida humana [1]. El cáncer, un conjunto de numerosos problemas patológicos provocados por el crecimiento celular descontrolado, tiene efectos perjudiciales en la atención sanitaria individual [2]. Según estimaciones de 2019, existen más de 200 tipos de cáncer mortales que causan más de 9,6 millones de muertes al año en todo el mundo [3]. Las principales causas de muerte son el cáncer de piel, estómago, mama, pulmón, próstata y colorrectal [4]. Los casos de mortalidad en países de ingresos bajos y medios están documentados en aproximadamente el 70% de los casos [5]. Basándose en estudios epidemiológicos, la Organización Mundial de la Salud (OMS) predijo 9,6 millones de muertes relacionadas con el cáncer y 18 millones de casos nuevos en 2018 [6]. Varios sistemas homeostáticos se ven alterados por la proliferación incontrolada de células cancerosas, lo que lleva a su invasividad y metástasis debido a cambios genéticos [7]. Los métodos de tratamiento del cáncer incluyen cirugía, quimioterapia, radioterapia e inmunoterapia; la quimioterapia es la más utilizada [7–9]. La quimioterapia es un tratamiento común y eficaz contra el cáncer que daña varios órganos importantes al provocar citotoxicidad tanto en células cancerosas como en células no cancerosas [10]. La tolerancia a los medicamentos es la principal preocupación en el tratamiento del cáncer para eliminar los efectos secundarios y las reacciones graves [11,12]. Por tanto, es fundamental desarrollar y buscar fármacos anticancerígenos con menos efectos secundarios y mayor tolerancia. La quimioterapia a veces crea un entorno desfavorable y un daño irreversible a los órganos que rodean el sitio objetivo. Además, la indulgencia celular hacia los medicamentos plantea dificultades terapéuticas adicionales. Por lo tanto, se desea encontrar agentes terapéuticos nuevos con bajos efectos secundarios para soportar todas las condiciones adversas [13]. Los compuestos bioactivos naturales utilizados como fármacos tienen una variedad de aplicaciones terapéuticas [14-18]. Además, la mayoría de los medicamentos son compuestos naturales o equivalentes sintéticos [19]. Debido a su variada composición química y biodisponibilidad, recientemente se ha investigado el potencial de los productos naturales marinos (MNP) como candidatos terapéuticos [20-25]. La biodiversidad de algas es abundante en entornos marinos y de agua dulce y contribuye a los principales metabolitos bioactivos [24,26–36]. Las algas se encuentran tanto en agua dulce como salada y desempeñan un papel importante en la preservación de la ecología y la biodiversidad de los ecosistemas marinos [37,38]. Las propiedades anticoagulantes, anticancerígenas, antidiabéticas, antivirales, inmunomoduladoras, antiangiogénicas, antiinflamatorias, antiadhesivas y antineurodegenerativas de los polisacáridos sulfatados se utilizan como posibles agentes terapéuticos [39-44]. El fucoidan, la porfirina, el carragenano y el ulvan son polisacáridos sulfatados que a menudo se extraen de algas pardas, rojas y verdes y contienen grupos sulfato que tienen la posibilidad de ser diligencias terapéuticas contra muchas neoplasias malignas [45-47]. Se espera que los polisacáridos sulfatados se utilicen como agentes farmacológicos quimioterapéuticos en la práctica clínica debido a su enorme variedad estructural y su sólida capacidad antioxidante [48]. Además, su alta absorción, costos de mantenimiento económicos, producción mejorada y uso como complementos alimenticios lo convierten en un fármaco de quimioterapia más buscado [49]. Informes anteriores han discutido las propiedades anticancerígenas de los polisacáridos sulfatados derivados de algas [50-52]. Sin embargo, el mecanismo exacto no se comprende ni se analiza completamente. Además, no se analizan los objetivos farmacológicos específicos del contexto, los subtipos de cáncer ni el microambiente tumoral [52-54]. La presente forma del manuscrito analiza la participación mecanística de estos polisacáridos sulfatados derivados de algas en la inducción de vías de muerte celular. También se ha discutido la terapia con un solo fármaco específico de múltiples objetivos teniendo en cuenta la heterogeneidad del tumor. El análisis sistemático del origen y la descripción mecanística de las vías reguladoras de los polisacáridos sulfatados utilizados en la prevención del cáncer son los temas principales de esta revisión. Para comprender la intervención terapéutica en el contexto de la prevención del cáncer, también nos hemos concentrado en la complejidad química y las fuentes de los polisacáridos sulfatados. Esta revisión sugiere futuros usos clínicos y de administración de nanofármacos, que también tiene en cuenta la función potencial de los polisacáridos sulfatados en la prevención del cáncer.

effects of cistance-antitumor (2)

Planta de hierba china cistanche-Antitumoral

2. Intrincado papel de la apoptosis en el tratamiento del cáncer: la muerte celular programada

Comprender la patogénesis de las enfermedades provocadas por la disfunción de la apoptosis requiere una comprensión de los mecanismos de la apoptosis. Esto puede beneficiar la creación de medicamentos que se dirijan específicamente a genes o vías apoptóticas. Debido a que funcionan como iniciadores y ejecutores, las caspasas son partes esenciales del mecanismo de apoptosis. Hay tres vías distintas por las que se pueden activar las caspasas. La intrínseca (o mitocondrial) y la extrínseca son las dos vías de inicio de la apoptosis que se analizan con mayor frecuencia (o receptor de la muerte) (Figura 1). Ambas vías conducen en última instancia a la etapa de ejecución de la apoptosis, que es una vía común. La vía intrínseca del retículo endoplásmico es una tercera vía de iniciación menos conocida [55].

Figure 1. Role of apoptosis in cancer treatment


Figura 1. Papel de la apoptosis en el tratamiento del cáncer

Numerosas caspasas se activan durante la etapa de ejecución de la apoptosis. La caspasa 9 media la vía intrínseca, mientras que la caspasa 8 media la vía extrínseca. Tanto la vía intrínseca como la extrínseca convergen en la caspasa 3 para completar la apoptosis. La apoptosis nuclear es causada por la degradación del inhibidor de la desoxirribonucleasa activada por caspasa por la caspasa 3 [56]. Además, las caspasas posteriores escinden las proteínas quinasas, las proteínas citoesqueléticas, las proteínas reparadoras del ADN y las subunidades inhibidoras de endonucleasas. Además, influyen en el citoesqueleto, el ciclo celular y las vías de señalización, todo lo cual ayuda a dar forma a los cambios morfológicos específicos que tienen lugar durante la apoptosis [56]. La apoptosis es una muerte celular programada dependiente de energía caracterizada por formación de ampollas en la membrana, reducción de la condensación de la cromatina citoplasmática y desintegración nuclear. La apoptosis es el proceso por el cual las células mueren sin causar inflamación [57,58]. Además, puede iniciarse mediante mecanismos mediados por mitocondrias o receptores de muerte de superficie (DR; apoptosis extrínseca) (apoptosis intrínseca) [59–62]. Ambas vías activan las caspasas ejecutivas, que escinden moléculas relacionadas con las moléculas estructurales y reguladoras de la red de células apoptóticas [46,63,64]. Después de los factores estresantes patógenos, la apoptosis es un mecanismo de muerte celular que ayuda a mantener la homeostasis celular [65]. Las células malignas suelen pasar por una serie de mutaciones genéticas para sobrevivir a los estímulos patógenos. La resistencia a la apoptosis o la disminución de la apoptosis promueven la carcinogénesis [66-68]. Las células cancerosas frecuentemente evitan la apoptosis reequilibrando el equilibrio de proteínas pro y antiapoptóticas. Las células cancerosas también pueden evitar la apoptosis si su actividad de caspasa es baja y su señalización DR está comprometida [62,69,70]. Las proteínas de la familia Bcl-2, un inhibidor de las proteínas de la apoptosis (IAP), p53, las caspasas ejecutoras y los DR se ven afectados con frecuencia por las células cancerosas. Estos genes moleculares y sus vías relacionadas son fundamentales en las terapias contra el cáncer porque provocan la muerte celular por apoptosis [71–75]. Se representa el papel típico de la apoptosis en el tratamiento del cáncer (Figura 1).

3. Algas marinas: el principal contribuyente de polisacáridos sulfatados

Debido a su enorme biodiversidad y su uso como alimento y medicina tradicional en todo el mundo, se cree que las algas marinas son una buena fuente de sustancias químicas bioactivas [76–78]. Se han investigado los efectos terapéuticos de una serie de sustancias químicas bioactivas derivadas de algas, sus extractos no procesados ​​y polisacáridos parcialmente purificados en una variedad de enfermedades humanas [54,79,80]. Sus cualidades antioxidantes ayudan a la capacidad de los fitoproductos elaborados a partir de algas marinas para resistir las enfermedades. Las algas pardas tienen varios polisacáridos físicos y funcionalmente distintos, incluidos ácidos algínicos y fucoidanos [81,82]. En biotecnología, medicina y preparación de alimentos, los polisacáridos sulfatados se utilizan con frecuencia [83,84]. Los polifenoles, los aminoácidos libres, las sustancias que contienen yodo, las vitaminas y los lípidos aislados de las algas marinas son ejemplos de metabolitos de bajo peso molecular utilizados en el procesamiento de alimentos y en la medicina [81,85]. Los polisacáridos sulfatados son fisiológicamente activos, altamente ramificados, diferentes de la composición de los monosacáridos y tienen un peso molecular más alto. Largas cadenas de moléculas de azúcar unidas forman el fucoidan, que está decorado con grupos sulfato [86]. La capacidad de los polisacáridos sulfatados para combatir muchas enfermedades malignas se atribuye principalmente a su capacidad antioxidante [87–89]. Es bien sabido que los polisacáridos sulfatados derivados de las algas marinas son fármacos anticancerígenos eficaces. Las algas contienen una variedad de polisacáridos sulfatados. Según su composición química, los polisacáridos se clasifican en gálatas y los xilanos sulfatados, polisacáridos de ácido sulfúrico (generalmente se encuentran en las algas verdes). Las algas pardas también contienen fucoidan [90]. Las algas rojas contienen frecuentemente agar, carragenanos, xilanos y floridean. Varios polisacáridos sulfatados de algas podrían usarse como candidatos terapéuticos para abordar una variedad de desigualdades en la salud humana [91]. Los galactanos sulfatados conocidos como carragenanos se utilizan con frecuencia en las industrias alimentaria y farmacéutica. Las fibras solubles, como los fucanos, se encuentran en las algas pardas. Por otro lado, las algas rojas son abundantes en fibras solubles como xilanos, almidón de Florida y galactanos sulfatados (agares y carragenanos) [92]. Las algas verdes también contienen xilosa, galactosa, ácidos urónicos, arabinosa y ramnosa, así como mananos, xilanos, almidón y polisacáridos con grupos sulfato iónicos. Hay muchos tipos de fibras solubles e insolubles en polisacáridos [93,94]. En comparación con su peso seco, las algas aportan un porcentaje más significativo de fibras dietéticas (entre un 25% y un 75%) que las que se encuentran en frutas y verduras [95]. El consumo de fibra dietética procedente de algas tiene muchos efectos positivos para la salud, ya que actúa como agente antitumoral, anticancerígeno, anticoagulante y antiviral. En las macroalgas pardas, los polisacáridos sulfatados se distribuyen ampliamente en las paredes celulares [80]. Entre otras acciones biológicas, los polisacáridos sulfatados actúan como agente antioxidante, antiinflamatorio, anticoagulante, anticancerígeno, antiviral, antidiabético y antitrombótico. También alteran el sistema inmunológico humano [7]. Además, el fucoidan, que es rico en algas pardas y es la segunda fuente más grande de polisacárido sulfatado, promueve el metabolismo intestinal en la salud humana [94].

La complejidad estructural de los polisacáridos sulfatados derivados de algas

La investigación se centra cada vez más en los polisacáridos, que se encuentran en las algas marinas y tienen propiedades anticancerígenas, antioxidantes, anticoagulantes y antiinflamatorias [7,96]. Los polisacáridos son moléculas grandes clasificadas por una unidad monomérica como homopolisacáridos, homoglicanos, heteropolisacáridos o heteroglicanos. Los polisacáridos también se clasifican según su origen alga en marrones, rojos, verdes o azules. Fucoidan (un polisacárido sulfatado) es el componente principal de las algas pardas. Agar, xilanos, carragenanos, almidón de Florida (glucano que se asemeja a la amilopectina), galactano sulfatado soluble en agua y porfirina son algunos productos elaborados a partir de algas rojas. Las algas verdes contienen galactanos sulfatados, xilanos y polisacáridos. Las algas marinas contienen una variedad de polisacáridos, y algunos géneros, incluidos Ascophyllum, Porphyra y Palmaria, contienen hasta un 76% de polisacáridos en peso seco [97].

4. Actividad preventiva de enfermedades de los polisacáridos sulfatados: las soluciones mágicas

Numerosos estudios han demostrado que la actividad biológica de los polisacáridos está influenciada por su peso molecular, estado conformacional, composición química y conexiones glicosídicas [98]. Comprender la relación entre el peso molecular y las propiedades esenciales, como la viscosidad, la conformación, la solubilidad en agua y otras de los polisacáridos, es importante en el cáncer [99,100]. Las porfirinas con menor peso molecular (BPM) tienen propiedades antioxidantes más potentes [101,102]. Dado que el porfirano tiene una masa molecular media más baja, tiene una actividad eliminadora de ROS más significativa [103]. Además, el subproducto de la hidrólisis del ácido porfirina, la oligoporfirina, tiene el potencial de prevenir y tratar varios tipos de cáncer. Se requirió una dosis de exposición a la irradiación más alta y porfirina con un peso molecular más bajo porque la radiación gamma dañaba la respuesta anticancerígena de la porfirina derivada de P. yezoensis [45]. Al contrario de investigaciones anteriores que afirmaban que la porfirina de menor peso molecular tiene una actividad anticancerígena más potente, la porfirina inhibía las líneas celulares cancerosas HeLa y Hep3B de forma más potente que los productos degradados. La composición del monosacárido o sulfato no cambió significativamente [100]. Por lo tanto, las investigaciones futuras deberían centrarse en cómo se relacionan el peso molecular de la porfirina y su actividad anticancerígena. En países asiáticos como Japón, China, Tailandia y Corea del Sur, las algas comestibles se valoran como una fuente de alimento saludable. La lucha contra el cáncer requiere el uso de polifenoles, terpenos, ficobiliproteínas, carotenoides, florotaninos, pigmentos y polisacáridos [104]. Los antioxidantes que se encuentran en las propiedades anticancerígenas de las algas marinas ayudan a detener la propagación del cáncer. A medida que avanza el cáncer, los antioxidantes son cruciales porque inhiben el crecimiento del tumor sin causar citotoxicidad [105]. Por ejemplo, un modelo de ratón con sarcoma 180 se trató con éxito con un polisacárido sulfatado inmunoestimulante de Champia feldmannii sin citotoxicidad [106]. Los polisacáridos de Gracilaria lemaneiformis indujeron la proliferación de esplenocitos, la fagocitosis de macrófagos y la inhibición de tumores. Los ratones con trasplantes de células de hepatoma H22 tenían niveles más altos de linfocitos T IL-2 y CD8+ en la sangre [107]. Un polisacárido sulfatado de C. feldmannii mostró eficacia anticancerígena en ratones suizos in vitro e in vivo. Aumentar la producción de anticuerpos específicos de OVA mejora la inmunidad [106]. Las propiedades anticancerígenas de los fucoidanos se han confirmado en una diversidad de cánceres, incluidos los de estómago, mama, pulmón e hígado [7]. El fucoidan ha recibido más atención que la porfirina y otros polisacáridos sulfatados. Los polisacáridos sulfatados de algas verdes, pardas y rojas han despertado mucho interés en este contexto debido a sus propiedades anticancerígenas. Las características fisicoquímicas de los diferentes polisacáridos sulfatados y su amplio rango de potencial terapéutico (Tabla 1) serán los protagonistas de esta investigación. Se han informado algunas propiedades fisicoquímicas de los polisacáridos sulfatados, incluida la solubilidad iónica, la reticulación, la biocompatibilidad, la no toxicidad, las propiedades reológicas y la biodegradabilidad [108-110]. Estas propiedades son características importantes de los polisacáridos sulfatados que han despertado mucho interés en su aplicación. Las propiedades principales de Fucoidan son la reticulación iónica y la solubilidad [109]. Los polisacáridos sulfatados solubles en agua facilitan el desarrollo de fucoidan y otros sistemas de administración basados ​​en moléculas cargadas positivamente. Los grupos sulfato cargados negativamente del fucoidan, por ejemplo, podrían ser comunes con los grupos amonio del quitosano para formar nanopartículas, hidrogeles y películas comestibles para la administración de nutracéuticos [111,112]. La no toxicidad es una propiedad importante además de la reticulación iónica y la solubilidad. Excepto lo indicado anteriormente, la biodegradabilidad y la biocompatibilidad son factores críticos para facilitar el uso de polisacáridos sulfatados en sistemas terapéuticos y de administración de fármacos. Recientemente, los investigadores se han interesado en los polisacáridos sulfatados debido a su excelente biocompatibilidad y biodegradabilidad. La biodegradabilidad de los polisacáridos sulfatados puede aumentar la biodisponibilidad y la eficacia de administración de los ingredientes bioactivos. La despolimerización y la purificación generalmente pueden aumentar la biodegradabilidad de los polisacáridos sulfatados al reducir su peso molecular, pero este método es demasiado costoso para ser utilizado ampliamente [113].

Tabla 1. Las características fisicoquímicas de los polisacáridos sulfatados y su potencial terapéutico con otras funciones.

Table 1. The physicochemical characteristics of sulfated polysaccharides and their therapeutic potential with other functions.


Polisacáridos sulfatados derivados de algas marinas moduladoras de la apoptosis

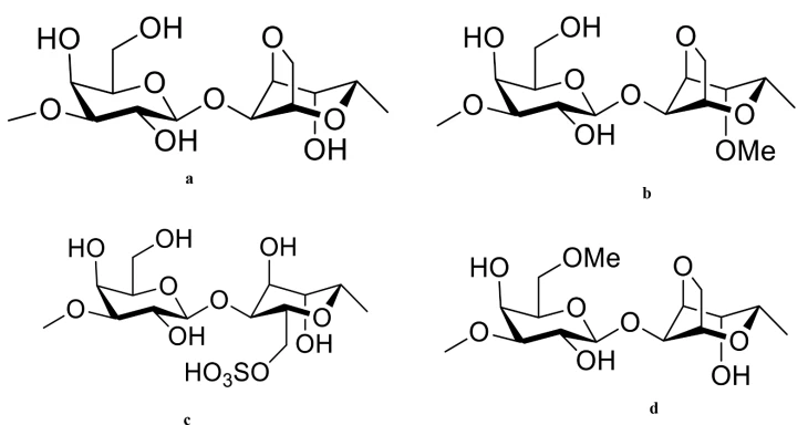
Como fármacos anticancerígenos, antiangiogénicos y antiinflamatorios, los polisacáridos sulfatados tienen una variedad de efectos biológicos [43,114]. Los polisacáridos sulfatados aislados de diferentes hábitats marinos se han estudiado ampliamente y se ha descubierto que son mediadores anticancerígenos eficaces contra diversas líneas celulares cancerosas al modular numerosas vías de supervivencia celular e inducir la apoptosis [43,46]. Por lo tanto, los polisacáridos sulfatados aislados de varias algas verdes, marrones y rojas de diversos hábitats marinos se han estudiado ampliamente por su capacidad para regular dinámicamente las vías de muerte celular. Estos polisacáridos son agentes anticancerígenos eficaces porque modulan numerosas vías de supervivencia celular e inducen la apoptosis. Los polisacáridos sulfatados se utilizan ampliamente en terapias contra el cáncer, así como en medicina de precisión para desarrollar fármacos de próxima generación. Algas verdes: las algas verdes, también conocidas como Chlorophyta, son un grupo influyente de algas marinas que son fuente de polisacáridos [115]. Sin embargo, los polisacáridos de la pared celular de las algas verdes han recibido menos atención que los polisacáridos de las algas rojas (agaranes y carragenanos) y marrones (fucoidan) [96]. Sin embargo, el estudio de los polisacáridos sulfatados derivados de algas verdes ha despertado el interés de la comunidad científica en los últimos años, principalmente por su diversidad estructural y sus propiedades biológicas y fisicoquímicas [116]. Además, debido a su variedad de enlaces glicosídicos que dan lugar a estructuras ramificadas y grupos sulfato unidos con diversas distribuciones especiales, los polisacáridos sulfatados son los candidatos más bioactivos y prometedores [117]. Los ulvan son polisacáridos sulfatados que son solubles en agua y se derivan de las paredes celulares de las algas verdes. Están presentes en plantas pertenecientes a los géneros Ulva, Enteromorpha, Monostroma, Caulerpa y otros. Consisten en restos disacáridos repetidos como ramnosa sulfatada y ácido urónico (glucurónico o idurónico). Los glucosaminoglicanos, que están presentes en la matriz extracelular de los tejidos conectivos animales, tienen una estructura comparable a la de los restos de disacárido de Iván. Algunos incluso también tienen residuos de xilosa visibles (Figura 2) [118]. El sulfato de 1,3-D-galactano con alto contenido de piruvato de Codium y un polisacárido similar de Codium es thmocladium son otros dos tipos de polisacáridos que se encuentran en las algas verdes [119,120]. También se han descubierto -D-mananos sulfatados, como los aislados de Codium vermilara [121]. La estructura molecular del polisacárido vansulfatado se muestra en la Figura 2.

Figure 2. The Molecular structure of Ivan is drawn in ChemDraw 12.0 Ultra.


Figura 2. La estructura molecular de Ivan está dibujada en ChemDraw 12.0 Ultra.

Recientemente se ha descubierto que los polisacáridos sulfatados aislados de varias algas verdes tropicales tienen propiedades antioxidantes y antiproliferativas. Después de 72 h de incubación, la proliferación de células HeLa se redujo entre un 36,3% y un 58,4% por el polisacárido aislado de Caulerpa prolifera [122]. Dos fracciones de polisacáridos de Caulerpa racemosa, un alga verde, mostraron actividad antitumoral a una dosis de 100 mg/kg/día, con tasas de inhibición del tumor H22 trasplantado en ratones de 59,5 a 83,8% (48 h) y 53,9% (14 días). ), respectivamente [123]. A través de experimentos in vivo e in vitro, se descubrió que las fracciones de polisacáridos sulfatados solubles en agua de Enteromorpha prolifera estimulan la inmunidad. Estos polisacáridos aumentaron significativamente la proliferación de esplenocitos y la producción de citoquinas inducida por ConA a través de una expresión elevada de ARNm [124]. Ulvan de Ulva rigida estimuló la secreción y actividad de los macrófagos murinos, aumentó la expresión de COX-2 y NOS-2 y duplicó con creces la expresión de algunas citocinas [125]. Los ulvans de Ulva pertusa estimularon la producción de óxido nítrico y citocinas y causaron poca citotoxicidad contra las células tumorales [126]. Se han publicado varios estudios sobre la actividad antioxidante de Ivan en la hepatitis experimental inducida por D-galactosamina en ratas [127,128]. Los polisacáridos derivados de algas verdes tienen potentes propiedades inmunomoduladoras y antioxidantes, lo que implica que podrían usarse para prevenir el cáncer. La actividad anticancerígena de Ulvan se ha descubierto recientemente en U. australis, U. lactuca, U. ohnoi y U. rigita [129]. Varios estudios han investigado la toxicidad y la viabilidad celular del ulvan para probar su actividad anticancerígena, específicamente para la actividad anticancerígena, anticancerígena, anticancerígena y anticancerígena cervical [129-132]. Ulvan contiene polisacáridos sulfatados, que inhiben la proliferación del carcinoma hepatocelular e inducen la apoptosis. Al reducir el estrés oxidativo, los polisacáridos sulfatados protegen el hígado del daño inducido por la DNEA [133]. Además, mejoran la apoptosis, reducen el estrés oxidativo y la inflamación y fortalecen el sistema de defensa antioxidante en ratones tratados con DMBA [130]. Ulvan fue menos tóxico para las células A459 y LS174 (IC50 > 200 mg/mL), pero fue más efectivo contra las células Fem-x y K562 (IC50 74.73 y 82,24 mg/mL, respectivamente) cuando se trataba de para prevenir la citotoxicidad moderada [134]. Con valores de CI50 que oscilan entre 21 y 99 µg/mL, incluso se redujo el crecimiento tumoral en las células MCF-7 y HCT-116 [132] y fuertes enlaces de ligandos parecen conectar esto con polisacáridos sulfatados [135]. Ulvan inhibió el crecimiento de carcinoma hepatocelular (IC50 29.67 ± 2,87 µg/mL), cáncer de mama humano (IC50 25.09 ± 1,36 µg/mL) y cáncer de cuello uterino (IC{{65 }}.33 ± 3,84 µg/ml) [131]. Sin embargo, la proliferación o diferenciación de las células Caco-2 puede inhibirse mediante polisacáridos de bajo peso molecular (5000 Da), generalmente oligosacáridos [129]. Los polisacáridos sulfatados tienen un efecto antiproliferativo, pero depende del tipo de célula. Los TP de polisacárido sulfatado (precipitados en alcohol) extraídos del alga verde Codium Bernabei mostraron una baja citotoxicidad en las líneas celulares HCT-116 y MCF-7 en comparación con los AP (precipitados en medio ácido). Por otro lado, las líneas celulares HL-60 mostraron poca citotoxicidad cuando se expusieron a los AP [51]. Debido a su fuerte actividad antioxidante, Enteromorpha spp. el extracto tiene efectos antiproliferativos sobre líneas celulares cancerosas como Fem-x, A549, LS174 y K562 [136]. Además, un extracto con disolvente diferente del extracto en compresa de Enteromorpha induce actividad anticancerígena mediante apoptosis en las líneas celulares de cáncer oral Cal33 y FaDu [38]. Algas pardas: Las algas pardas son las fuentes más prometedoras de polisacáridos sulfatados y muestran la actividad anticancerígena más prometedora contra varias líneas celulares cancerosas. Se muestra la estructura típica de polisacárido sulfatado derivado de algas pardas (Figura 3). Se descubrió que las células de cáncer de pulmón de Lewis (LCC) y las células de melanoma B16 eran sensibles al fucoidan aislado de Sargassum sp. [137]. Redujo la proliferación celular y promovió la apoptosis de forma dependiente de la dosis, como lo demuestran las alteraciones morfológicas. Los fucoidanos de S. hemiphyllum inhibieron el crecimiento del cáncer de mama mediante la regulación positiva de miR-29c y la regulación negativa de miR-17-5p. Además, estaba claro que después de la administración de fucoidan, la progresión de la EMT se ralentizó por la expresión de E-cadherina amplificada y la reducción de la expresión de N-cadherina. Además, la activación de la vía de la fosfoinositida 3- quinasa/Akt ha promovido la apoptosis en células de cáncer de mama [138]. Fucoidan de L. gurjanovae demostró un efecto antineoplásico en células JB6 Cl41 epidérmicas de rata al retrasar la fosforilación de EGFR. Controló la señalización c-jun inducida por EGF e inhibió la acción de la proteína activadora -1 (AP-1) [139].

figure 3. The Molecular structure of different types of sulfated polysaccharides such as fucoidan, with potential therapeutic effects, are drawn in ChemDraw 12.0 Ultra.

figura 3. La estructura molecular de diferentes tipos de polisacáridos sulfatados como el fucoidan, con posibles efectos terapéuticos, se dibuja en ChemDraw 12.0 Ultra.

Fucoidan derivado de F. vesiculosus inhibió la proliferación celular y detuvo el ciclo celular en células de cáncer de ovario (ES2 y OV90). También produjo ROS, que regulaba la apoptosis intrínseca. Al suprimir las vías de señalización PI3K y MAPK, el estrés del RE también promovió la apoptosis. También demostró efectos anticancerígenos en el carcinoma mucoepidermoide humano mediante la modificación de las vías p-38 MAPK, ERK1/2 y JNK (MC3) [140]. Además, redujo la cantidad de calcio en el citosol y las mitocondrias para favorecer la muerte celular apoptótica. Técnicas de extracción similares para fucoidan producido a partir de F. vesiculosus mostraron eficacia anticancerígena in vivo en el xenoinjerto de pez cebra y el modelo fli1 Tg [141]. En las células HepG2 y HeLa G-63, el fucoidan de Fucus vesiculosus demostró una potente actividad anticancerígena. Se descubrió que fucoidan es más eficaz en las células de cáncer de hígado humano (HepG2) [142]. Fucoidan de Fucus vesiculosus aumentó la MMP, lo que indujo la apoptosis dependiente de caspasa-3-en células de linfoma de Burkitt humano (HS-Sultan). Además, se observaron informes de muerte celular apoptótica independiente de caspasa en células HS-Sultan después de la administración de fucoidan. Además, el fucoidan impidió que se fosforilaran las vías ERK y GSK, las cuales eran necesarias para la activación de la apoptosis [143]. Su bajo IC50 (34 µg/mL) activó la procaspasa-3, la procaspasa-9 y la caspasa-3/7 mientras regulaba a la baja Bcl-2 en HCT{{28 }} celdas [144]. La capacidad de proteínas antiapoptóticas como Bcl-xl, Bcl-2 y Mcl-1 para provocar apoptosis en células MDA-MB231 fue inhibida por fucoidan a IC50 (820 µg/ml) [46]. La terapia con fucoidan (IC50; 20 µg/ml) provocó una fluctuación similar en la expresión de Bad, Bcl-2, Bim, Bcl-xl y Bik en líneas celulares de cáncer de colon [144]. El fucoidan derivado de C. okamuranus se combinó con Con A y promovió la apoptosis intrínseca mediante la inducción de caspasa-3/7 en células HL60 [145]. Además, el agotamiento de glutatión y la producción de NO fueron mediadores importantes de la apoptosis en células de leucemia humana, al igual que la activación de MEKK1, ERK1/2, MEK1 y JNK [146]. Se extrajo fucoidan de C. novaecaledoniae y se utilizó para inducir la apoptosis intrínseca en células HeLa, MCF-7, MDA-MB-231 y HT1080. Esta apoptosis intrínseca estuvo acompañada de MMP, fragmentación del ADN, condensación nuclear y externalización de fosfatidilserina [147]. C. okamuranus fucoidan indujo la apoptosis dependiente de caspasa en células U937 mediante la inducción de las vías de caspasa -3 y -7 [148]. Además, mejoró la inmunidad mediada por células de ratón, los fagocitos y la proliferación de células inmunitarias en el modelo in vivo [149].

Desert ginseng—Improve immunity (20)

Beneficios del suplemento cistanche: aumentar la inmunidad.

Además, en células normales del estómago (Hs 677. St), el fucoidan aislado de C. okamuranus redujo el daño celular provocado por el 5-fluorouracilo (5- FU) [150]. En este contexto, se observó una actividad antiproliferativa significativa en las células MCF-7, sin citotoxicidad para las células epiteliales mamarias humanas. Hubo un aumento en la actividad de caspasa-7, caspasa-8 y caspasa-9, fragmentación del ADN internucleosomal y condensación de cromatina en ambas líneas celulares [151]. También se ha informado sobre la terapia con fucoidan para la muerte celular independiente de caspasa en MCF-7 [152]. Las hidrólisis aumentan el contenido luminal de fucoidano, que es un potente mediador quimiopreventivo del cáncer de colon porque no digieren estos fucoidanos [153]. La terapia con fucoidan (0–20 µg/ml) promovió la muerte mitocondrial en células HT-29 y HCT116 mediante la regulación de caspasa-3. Recientemente también se ha informado de apoptosis extrínseca en células HT-29 [144]. Las propiedades anticancerígenas del fucoidan de bajo peso molecular (LMWF; 6,5–40 kDa) de C. okamuranus, el fucoidan de alto peso molecular (HMWF; 300–330 kDa) y el fucoidan de peso molecular intermedio (IMWF; 110–138 kDa) se demostraron en un modelo de rata con tumor de carcinoma de colon [154]. Fucoidan (PM 5100 kDa) de U. pinnatifida indujo apoptosis en células de cáncer de próstata humano (PC-3) mediante la inducción de ERK1/2 MAPK, la inhibición de p38 MAPK y la vía PI3K/Akt. Además, la regulación negativa de la vía Wnt/-catenina ayudó al progreso de la apoptosis [155]. Fucoidan también amplificó las vías p21Cip1/Waf en las células PC-3. Además, redujo las proteínas relacionadas con el ciclo celular E2F-1 al tiempo que aumentó las vías Wnt/-catenina. La activación de GSK-3 redujo la expresión de c-MYC y ciclina D1, lo que contribuyó a la actividad antiproliferativa [156]. Se descubrió que estos fucoidanos tienen actividad anticancerígena en las células HeLa, A549 y HepG2 al alterar las vías de señalización celular críticas mencionadas anteriormente [157]. Fucoidan de F. vesiculosus indujo apoptosis en líneas celulares cancerosas, incluidas NB4, THP-1 y HL-60. La administración de fucoidan activó las caspasas-3, -8 y -9, escindió Bid y alteró la MMP en las células HL-60. El inicio de la apoptosis tuvo un efecto comparable en las células U937. Además, en las células U937, la terapia con fucoidan aumentó la liberación de MMP (potencial de membrana mitocondrial) y de citocromo C citosólico, así como la relación Bax/Bcl-2. Los inhibidores de caspasa, por otro lado, retrasaron el inicio de la apoptosis, lo que demuestra que la actividad de la caspasa regulada por fucoidan fue responsable de la inducción de la apoptosis. Además, el tratamiento con SB203580, un inhibidor específico de p38 MAPK, fue responsable de la reducción de la apoptosis, lo que demuestra la importancia de MAPK en la activación de la apoptosis [158]. La terapia con fucoidan inhibió el ciclo celular G1 en las células EJ al afectar a la ciclina D1, la ciclina E y las Cdks (cinasas dependientes de ciclina). Además, inhibe la fosforilación de Rb, lo que provoca el envejecimiento celular [159]. Fucoidan de F. vesiculosus inhibió el crecimiento de células MCF-7 al detener el ciclo celular en la fase G1 y reducir los niveles de CDK-4 y ciclina D1. Además, al escindir PARP y Bid, disminuir Bcl-2 y aumentar Bax, indujo la apoptosis dependiente de ROS. Las células MCF-7 exhibieron la aparición de apoptosis intrínseca mediante la regulación de caspasa-7, -8 y -9 y la liberación de citocromo C citosólico [160,161]. Además, el fucoidan de la terapia con F. vesiculosus redujo la migración e invasión celular, así como la EMT en las células MCF-7 mediante la regulación negativa de MMP-9 y la sobreexpresión de E-cadherina [162]. Los fucoidanos derivados de F. vesiculosus inhibieron el crecimiento en células de ratón Balb/c hembra con xenoinjerto MDA-MB-231 y 4T1, lo que resultó en un menor desarrollo de nódulos pulmonares metastásicos. El retroceso efectivo de la EMT inducida por TGFR se logró mecánicamente mediante la regulación negativa de TGFRII y TGFRI. Todos los casos mencionados anteriormente se han asociado con la regulación positiva de los marcadores epiteliales y su fosforilación de la expresión de Smad2/3 Smad4, fosforilación de la expresión de Smad2/3 Smad4 y moléculas de señalización posteriores [163]. Además, la activación de caspasa -3, la liberación de citocromo C citosólico, la regulación negativa de Bcl -2 y el aumento de la expresión de Bax indujeron la apoptosis. Además, la regulación de la expresión de VEGF, Survivin y ERK ayudó al comienzo de la apoptosis [164]. En la línea celular MDS/AML y SKM1, el tratamiento con fucoidan comercializado (100 µg/ml durante 48 h) provocó la detención del ciclo celular (fase G1) y la instigación de Fas para inducir apoptosis extrínseca a través de modulaciones de caspasa 8 y 9. Además, influyó en la vía PI3K/Akt de manera dependiente de ROS, promoviendo así la apoptosis [165]. Alteró p-Akt, p-PI3K, p-P38 y p-ERK para modular las vías de señalización MAPK y PI3K/Akt en células DU-145 (cáncer de próstata). Además, aumentó la expresión de Bax al tiempo que disminuyó la expresión de Bcl-2, escisión de PARP y caspasa-9 de una manera dependiente de la concentración [166]. La administración de fucoidan indujo apoptosis en células de osteosarcoma (MG-63) (evidenciada por parloteo celular, desintegración nuclear y condensación de cromatina) [167]. El tratamiento con fucoidan sintético comercializado aumentó la apoptosis regulada por ROS en células de cáncer de vejiga humana (5637) al activar el potencial de membrana mitocondrial (MMP), aumentar la relación Bax/Bcl-2 y aumentar la liberación de citocromo C citosólico. Además, la inhibición de la señalización de PI3K/Akt y las actividades anti-telomerasa promovieron la muerte celular apoptótica en 5637 células de cáncer de vejiga humana mediante la regulación negativa de la actividad de la telomerasa [168]. Además, se afirmó que la activación de la señalización de AKT era fundamental para inhibir la proliferación y suprimir la capacidad de las células cancerosas de vejiga para migrar e invadir [169]. Fucoidan inhibió el ciclo celular en las células 5637 y T-24 (carcinoma de vejiga humana) al alterar la expresión de p21/WAF1, ciclinas y CDK. Además, la inhibición de MMP-9 a través de AP-1 y NF-kB redujo la proliferación de células de cáncer de vejiga [169]. En la Tabla 2 se muestran los polisacáridos sulfatados de algas pardas como potentes agentes anticancerígenos.

Tabla 2. Polisacáridos sulfatados de algas pardas como potentes agentes anticancerígenos. ↑: regulación positiva, ↓: regulación negativa, ⊥: inhibición

Table 2. Sulfated polysaccharides from brown algae as potent anticancer agents. ↑: upregulation, ↓: Downregulation, ⊥: Inhibition

Table 2. Sulfated polysaccharides from brown algae as potent anticancer agents. ↑: upregulation, ↓: Downregulation, ⊥: Inhibition

Table 2. Sulfated polysaccharides from brown algae as potent anticancer agents. ↑: upregulation, ↓: Downregulation, ⊥: Inhibition

Algas rojas: El porfirano es un polímero que se encuentra en Porphyra sp., un alga roja. El porfirano es una galactosa que ha sido reemplazada en gran medida por la 6-O-sulfatación y la 6-O-metilación de L-galactosa [100]. Se muestra la estructura repetitiva típica del porfirano (Figura 4). El porfirano se extrae de las algas rojas mediante extracción con agua caliente, tratamiento ultrasónico y degradación radical. Los estudios en humanos han demostrado las propiedades anticancerígenas, hipolipidémicas y antiinflamatorias del porfirano [170]. Cuando se consume por vía oral, el porfirano protege los hígados de los ratones ICR de los efectos de una dieta rica en grasas, lo que sugiere que podría usarse como un componente hipolipidémico de la dieta [171].

Figure 4. The Molecular structure of different types of porphyran with potential therapeutic effects are drawn in Chemdraw 12.0 Ultra.

Figura 4. La estructura molecular de diferentes tipos de porfirano con posibles efectos terapéuticos se dibuja en Chemdraw 12.0 Ultra.

Figure 5. The Molecular structure of different types of carrageenan with potential therapeutic effects is drawn in ChemDraw 12.0 Ultra.


Figura 5. La estructura molecular de diferentes tipos de carragenano con posibles efectos terapéuticos se dibuja en ChemDraw 12.0 Ultra. Las estructuras poliméricas de las diferentes estructuras moleculares del carragenano como Υ-carragenano (a); -carragenina (b); δ-carragenina (c); -carragenina (d); µ-carragenano (e); κ-carragenano (f); ν-carragenano (g); ι-carragenano (h); λ-carragenina (i); y θ-carragenano (j).

Se sabe que el cáncer se ve acelerado por los radicales libres y las ROS (especies reactivas de oxígeno). Los fármacos quimiopreventivos sintéticos suelen generar efectos secundarios indeseables en el entorno tumoral debido a su baja selectividad y amplia biodistribución [173]. La porfirina es un potente agente quimiopreventivo debido a su influencia sobre la proliferación celular, el ciclo celular y la inducción de la apoptosis [174]. El alga roja Porphyra yezoensis puede inducir la muerte celular apoptótica en líneas celulares cancerosas in vitro sin causar citotoxicidad en las células normales. En términos generales, la porfirina no es tóxica para las células sanas, pero sí para las células cancerosas, lo que provoca una muerte celular dependiente de la dosis [175]. Además, se ha demostrado que la porfirina inhibe el crecimiento celular general al tiempo que induce la apoptosis en células de cáncer de estómago humano AGS [175]. En las células AGS, la vía Akt/receptor del factor de crecimiento similar a la insulina I aumenta la escisión de PARP y la activación de caspasa-3, lo que estimula la muerte celular [175]. Numerosos estudios han demostrado las propiedades antitumorales y anticancerígenas de la porfirina y sus oligosacáridos. La porfirina puede estimular la escisión de la poli (ADP-ribosa) polimerasa y la activación de la caspasa 3 en las células de cáncer gástrico. Al reducir los niveles de expresión en las células AGS (cáncer gástrico), la porfirina puede retardar el crecimiento de las células cancerosas. Esto evitaría la fosforilación de IGF-IR y activaría la caspasa 3 [175]. La porfirina cruda y purificada tiene actividad antiproliferativa en células HT-29 y AGS in vitro. La apoptosis es inducida por el componente polisacárido de porfirina cruda, como lo demuestra un aumento en la activación de la caspasa -3 [176]. La porfirina inhibe la proliferación de células HT-29 activando la caspasa-3 [176]. Se ha demostrado que la porfirina es eficaz contra el carcinoma de células de Ehrlich (EAC) y el fibrosarcoma Meth-A en modelos de tumores de ratón [177].

Cistanche deserticola

Cistanche que vive en el desiertoTubulosa

Haga clic aquí para ver los productos Cistanche

【Pregunte por más】 Correo electrónico:cindy.xue@wecistanche.com / Whats App: 0086 18599088692 / Wechat: 18599088692

Se descubrió que la porfirina natural no tenía ningún efecto sobre la MDA-MB-231, mientras que dos productos de descomposición tuvieron un impacto cuando se analizó la actividad anticancerígena de la porfirina y dos OP (oligoporfirina) creados por irradiación gamma. Al evitar que el ciclo celular entre en la fase G2/M, los OP tienen la capacidad de reducir el crecimiento de las células [45]. Como resultado, el PM del porfirano ha mostrado un impacto significativo en su eficacia anticancerígena. Los OP de bajo MW son particularmente eficaces contra el cáncer; sin embargo, la porfirina macromolecular no tiene actividad antitumoral. Además, se descubrió la actividad anticancerígena de la porfirina, que actúa principalmente como fármaco anticancerígeno al impedir el crecimiento celular y provocar la apoptosis [180]. En numerosos estudios se ha demostrado que los carragenanos tienen actividad antiproliferativa en líneas celulares cancerosas in vitro y eficacia inhibidora del crecimiento tumoral en ratones [181-183]. También tienen un efecto antimetastásico al impedir que las células cancerosas se conecten con la membrana basal y limitar la propagación y adhesión de las células tumorales a diferentes sustratos; sin embargo, aún se desconocen los mecanismos de acción precisos. Se descubrió que los carragenanos de Kappaphycus alvarezii previenen el crecimiento de células cancerosas de hígado, colon, mama y osteosarcoma [184]. Yamamoto et al. (1986) descubrieron que la ingesta oral de diversas algas reducía significativamente la aparición de carcinogénesis in vivo [185]. Hagiwara et al. (2001) [186] examinaron los efectos de la carragenina sobre la carcinogénesis de colon en ratas macho. El tratamiento no tuvo ningún efecto sobre los síntomas clínicos o el peso corporal. Según la investigación histológica, la carragenina no tiene ninguna actividad que fomente la carcinogénesis colorrectal con una ingesta dietética máxima del 5,0% en los entornos experimentales existentes [186]. En varios estudios se ha demostrado que la carragenina tiene efectos citotóxicos específicos sobre las células cancerosas. En dichos estudios, dosis de 250 a 2500 µg/ml de k-carragenano y λ-carragenano inhibieron las células de cáncer de cuello uterino humano al detener el ciclo celular en etapas específicas y retrasar su finalización [47]. El k-carragenano retrasó las etapas del ciclo celular (etapa G2/M), mientras que el λ-carragenano retrasó las etapas G1 y G2/M. Sin embargo, el k-selenocarragenano (selenocarragenano que contiene selenio) inhibe la propagación celular en una célula de hepatoma humano. El ciclo celular finaliza durante la fase S del ciclo celular [187]. Sin embargo, los estudios in vivo e in vitro expusieron que el carragenano nativo no tenía ningún efecto antiproliferación discernible en la línea celular de osteosarcoma humano. Debido a una reducción en la vía de señalización Wnt/-catenina, la apoptosis inducida por carragenina degradada inhibió el crecimiento tumoral y detuvo la fase G1 del ciclo celular, todo lo cual aumentó las tasas existentes de ratones portadores de tumores [188]. La angiogénesis es un paso crítico en la progresión del cáncer. Como resultado, se está investigando exhaustivamente la actividad antiangiogénica en el tratamiento del cáncer. Los carragenanos son inhibidores de la angiogénesis debido a su mayor actividad antiangiogénica que la suramina [189,190]. En el modelo CAM (membrana corioalantoidea de pollo), se demostró que el resultado antiangiogénico de los oligosacáridos de k-carragenano en células ECV304 limita la proliferación, migración y formación de tubos celulares [191]. Además, al regular negativamente bFGFR, bFGF, CD105 y VEGF humanos, los oligosacáridos inhibieron la formación de nuevos vasos sanguíneos en tumores de xenoinjerto MCF-7. Las células endoteliales de la vena umbilical humana se trataron con oligosacáridos de λ-carragenano en concentraciones relativamente bajas (150–300 µg/ml), lo que tuvo un impacto adverso en el desarrollo de células endoteliales de los vasos sanguíneos tumorales [192]. La cantidad y posición de la sulfatación, así como el peso molecular, influyen en la actividad biológica de los polisacáridos sulfatados. En otras palabras, los cambios químicos alteran las actividades biológicas de los carbohidratos [193]. Por ejemplo, el λ-carragenano se puede descomponer en cinco compuestos diferentes con pesos moleculares variables, todos los cuales tienen propiedades anticancerígenas, probablemente debido a la inmunomodulación. Los productos de menor peso molecular, como aquellos con pesos moleculares de 15 y 9,3 kDa, demostraron propiedades anticancerígenas e inmunomoduladoras superiores [193]. La sulfatación, acetilación y fosforilación mejoraron las propiedades anticancerígenas e inmunomoduladoras de los oligosacáridos de k-carragenano de Kappaphycus striatum. Las modificaciones químicas también aumentaron la actividad oxidante de los oligosacáridos de k-carragenano [194]. Los polisacáridos sulfatados de las algas rojas y su modulación de la apoptosis en la terapia contra el cáncer se muestran en la Tabla 3. La inducción de la apoptosis es el mecanismo adoptado por los quimiopreventivos. Diferentes polisacáridos sulfatados derivados de diferentes algas desencadenan la apoptosis en diversas líneas celulares cancerosas (Figura 6). Los polisacáridos sulfatados mostraron diferentes funciones quimiopreventivas en el cáncer (Figura 7).

Figure 6. Apoptosis modulation by different sulfated polysaccharides derived from different sea weeds in cancer prevention.

Figura 6. Modulación de la apoptosis por diferentes polisacáridos sulfatados derivados de diferentes algas marinas en la prevención del cáncer.

Figure 7. Sulfated polysaccharides displayed different chemopreventive roles in cancer.

Figura 7. Los polisacáridos sulfatados mostraron diferentes funciones quimiopreventivas en el cáncer.

Tabla 3. Polisacáridos sulfatados de algas rojas y su modulación de la apoptosis en la terapia contra el cáncer

Table 3. Sulfated polysaccharides from red algae and their apoptosis modulating in cancer thera

Table 3. Sulfated polysaccharides from red algae and their apoptosis modulating in cancer thera


5. Síntesis de nanopartículas mediante el uso de polisacáridos sulfatados y su impacto en la eficacia terapéutica del cáncer

Los tres principales tratamientos contra el cáncer disponibles actualmente son la cirugía, la quimioterapia y la radioterapia; Sin embargo, la quimioterapia no ha sido el pilar de la atención del cáncer en los últimos años debido al nivel al que puede dañar las células normales sanas. Las nanopartículas han surgido como técnicas alternativas para abordar únicamente las células cancerosas, aumentando la posibilidad de obtener medicamentos para las células cancerosas y evitando daños a las células sanas [195]. Las algas marinas son una fuente común de polisacáridos sulfatados naturales, pero también existen otras fuentes. Se han investigado numerosas aplicaciones biológicas y biomédicas del ivan, la carragenina, la porfirina, el fucoidan y sus otros derivados en el tratamiento de heridas, la ingeniería de tejidos, la administración de fármacos y los biosensores [196]. Los polisacáridos de las algas interactúan fácilmente con el tejido biológico porque tienen grupos superficiales hidrófilos como carboxilo, hidroxilo y sulfato [197]. Han recibido mucha atención las técnicas preparatorias que producen nanopartículas de polisacáridos sulfatados con las propiedades deseadas para sistemas eficientes de administración de fármacos [198,199]. La gelificación iónica suele ser un proceso sencillo y suave para crear nanopartículas de polisacáridos sulfatados. Sin embargo, para crear nanopartículas a base de ulvan, fucoidan, porfirina y carragenano con la forma deseada, la optimización del proceso es crucial. La optimización se puede llevar a cabo ajustando el pH, la temperatura, la concentración de iones calcio, la concentración de polisacárido sulfatado, la velocidad de adición y la velocidad de agitación. Tanto las células MCF7 como las HepG2 no pueden proliferar mediante van en nanopartículas de albúmina debido a un aumento en los niveles de caspasa-8 y caspasa-9, lo que denota la inducción de apoptosis [129]. Al crear nanopartículas de oro (AuNps), que se utilizan como sistemas de administración de fármacos para tratamientos contra el cáncer, la porfirina también se puede utilizar como agente reductor. Por ejemplo, una línea celular de glioma humano es más tóxica para las AuNps recubiertas con porfirina (LN-229). Como resultado, se desarrollaron y utilizaron AuNps cubiertas con porfirina como portadores de fármacos anticancerígenos de clorhidrato de doxorrubicina [200]. Un inhibidor de la timidilato sintasa llamado 5-fluorouracilo (5-FU) se ha utilizado para tratar el cáncer durante mucho tiempo, pero su uso se ha restringido debido a los efectos secundarios [201]. Para crear una macromolécula soluble en agua para el profármaco 5-FU, se pueden utilizar AuNps cubiertas con porfirina como portador del fármaco, retrasando la liberación de 5-FU y minimizando los efectos secundarios [202]. En un estudio de citotoxicidad in vitro se descubrió que las AuNP cubiertas con porfirano eran seguras, lo que sugiere que podrían usarse como sistemas de administración de fármacos [203]. Debido a esto, el uso de porfirina como agente reductor para la administración de medicamentos no tiene efectos desfavorables y podría hacer posible que los medicamentos contra el cáncer actúen más rápidamente. El fucoidan porfirano y las nanopartículas a base de carragenano en particular se han investigado exhaustivamente para la administración de medicamentos contra el cáncer (Tabla 4).

Tabla 4. Síntesis de nanopartículas mediante el uso de polisacáridos sulfatados y su impacto en la eficacia terapéutica del cáncer.

Table 4. Nanoparticle synthesis by using sulfated polysaccharides and its impact on the cancer therapeutic efficacy.


6. Limitaciones de la investigación de polisacáridos sulfatados y expansión futura en la prevención del cáncer

Aunque los polisacáridos sulfatados tienen numerosos usos medicinales, su baja biodisponibilidad hace que su uso en la vida diaria sea poco práctico. Las diferentes estructuras de polisacáridos sulfatados afectan su absorción en diferentes órganos [7]. Además, una fluctuación continua en las dosis efectivas tanto en aplicaciones in vitro como in vivo compromete su ensayo clínico [7]. La eficacia in vitro de los polisacáridos sulfatados frecuentemente no se replica en estudios preclínicos o clínicos [215]. Además, su lento metabolismo intracelular y su solubilidad restringida hacen que la aplicación clínica sea más desafiante [216]. Más importante aún, su amplia aplicación terapéutica es el resultado de su especificidad celular y selectividad de objetivos moleculares. Dependiendo de la configuración celular, tisular y tumoral, estos químicos bioactivos tienen diferentes formas de causar la muerte celular [216]. Además, los estudios clínicos tienen más éxito cuando se comprenden las funciones de acción monoespecíficas y multiespecíficas [216]. Los análogos sintéticos de los polisacáridos sulfatados podrían tener una mayor biodisponibilidad si se crean y prueban [217]. Para aumentar la biodisponibilidad y la especificidad del objetivo, los polisacáridos sulfatados y sus equivalentes sintéticos pueden beneficiarse del uso de microemulsiones, nanoportadores, polímeros, liposomas y micelas [218]. En nuestra opinión, estas técnicas se utilizarán con más frecuencia en el futuro para crear nanopartículas basadas en polisacáridos. En términos de administración de medicamentos contra el cáncer con mayor biodisponibilidad, las nanopartículas basadas en polisacáridos de algas han demostrado resultados prometedores [170]. Estas técnicas también mejorarán su metabolismo en los sistemas huésped y su solubilidad [170]. Además, la eficacia clínica y preclínica de la apoptosis se verá mejorada por su especificidad objetivo. La combinación de polisacáridos sulfatados con fármacos que hayan recibido la aprobación de la FDA podría aumentar significativamente la eficacia clínica [170]. Además, los polisacáridos sulfatados, cuando se añaden o se utilizan como adyuvantes en los alimentos, mejoran la eficacia terapéutica de los medicamentos modernos [170].

Benefits of cistanche tubulosa-Antitumor

Beneficios de la cistanche tubulosa-Antitumoral

7. Conclusiones y perspectivas futuras

El sistema actual de terapia contra el cáncer ha identificado los polisacáridos sulfatados como una fuente confiable para descubrir moléculas bioactivas farmacológicas con una variedad de efectos quimioterapéuticos en diversas neoplasias malignas. Más de la mitad de los medicamentos aprobados por la FDA en los últimos años se han extraído directamente de fuentes marinas o se han creado utilizando una contraparte química. El aislamiento y uso de estos compuestos sulfatados de fuentes marinas tienen mayor biodisponibilidad, composición química diversificada y citotoxicidad no reductora. Debido a estas características, los polisacáridos sulfatados derivados de las algas actúan como posibles farmacóforos principales en el tratamiento de diversas neoplasias malignas. Sin embargo, una barrera importante para su utilización farmacéutica es su biodisponibilidad, separación mejorada, limpieza de los aislados y selectividad del objetivo como especificidad de múltiples objetivos de un fármaco y contexto de célula/tejido/cáncer. Además, desempeñan un papel importante como mediadores farmacológicos debido a su amplia variedad de intervenciones terapéuticas, producción comercial de bajo costo y aplicaciones clínicas y preclínicas prometedoras. Mientras tanto, existe cierto optimismo sobre la comercialización de estos polisacáridos sulfatados de algas marinas debido a la recolección extensiva de los organismos dentro y fuera del sitio y al bajo costo del mantenimiento del cultivo. Además, la fabricación a gran escala de estos polisacáridos sulfatados para quimioterapia se vuelve más eficaz gracias a la aplicación fuera de rango de la síntesis química de estos polisacáridos. Con la llegada de nuevas perspectivas para el aislamiento y la detección de polisacáridos sulfatados de algas marinas como agentes farmacológicos innovadores contra diversos tipos de cáncer, es probable que el uso quimioterapéutico de tales posibles agentes florezca en breve. Además, las nanopartículas basadas en polisacáridos sulfatados mediadas por nanopartículas son capaces de una liberación sostenida de fármacos, una alta estabilidad y biocompatibilidad, todo lo cual se utilizará en ensayos clínicos en el futuro. Dirigirse a los restos aumentará la eficacia terapéutica de las nanopartículas a base de polisacáridos y al mismo tiempo minimizará los efectos secundarios indeseables. Además, la creación de estos candidatos a fármacos mejorará los medicamentos actualmente disponibles para el avance de la medicina personalizada y de precisión.

Referencias

1. Younossi, ZM; Corey, KE; Lim, actualización de la práctica clínica de JK AGA sobre la modificación del estilo de vida mediante dieta y ejercicio para lograr la pérdida de peso en el tratamiento de la enfermedad del hígado graso no alcohólico: revisión de expertos. Gastroenterología 2021, 160, 912–918. [Referencia cruzada] [PubMed]

2. Blix, H. Verificación de la no proliferación nuclear: asegurar el futuro. Toro de la OIEA. 1992, 34, 2–5.

3. Organización Mundial de la Salud. Informe sobre la situación mundial del alcohol y la salud 2018; Organización Mundial de la Salud: Ginebra, Suiza, 2019.

4. Edwards, BK; Nadie, soy; Mariotto, AB; Simard, EP; Boscoe, FP; Henley, SJ; Jemal, A.; Cho, H.; Anderson, enfermera registrada; Kohler, BA Informe anual a la nación sobre el estado del cáncer, 1975-2010, que presenta la prevalencia de comorbilidad y el impacto en la supervivencia entre personas con cáncer de pulmón, colorrectal, mama o próstata. Cáncer 2014, 120, 1290–1314. [Referencia cruzada] [PubMed]

5. Delgermaa, V.; Takahashi, K.; Park, E.-K.; Le, GV; Hara, T.; Sorahan, T. Muertes mundiales por mesotelioma notificadas a la Organización Mundial de la Salud entre 1994 y 2008. Bull. Órgano Mundial de la Salud. 2011, 89, 716–724. [Referencia cruzada] [PubMed]

6. Pradhan, B.; Nayak, R.; Patra, S.; Jit, BP; Ragusa, A. Metabolitos bioactivos de algas marinas como potentes farmacóforos contra las enfermedades humanas asociadas al estrés oxidativo: una revisión completa. Moléculas 2020, 26, 37. [CrossRef]

7. Pradhan, B.; Patra, S.; Nayak, R.; Behera, C.; Dash, SR; Nayak, S.; Sahu, BB; Butia, SK; Jena, M. Papel multifuncional del fucoidan, polisacáridos sulfatados en la salud y las enfermedades humanas: un viaje bajo el mar en busca de potentes agentes terapéuticos. En t. J. Biol. Macromol. 2020, 164, 4263–4278. [Referencia cruzada]

8. Patra, S.; Bhol, CS; Panigrahi, DP; Praharaj, PP; Pradhan, B.; Jena, M.; Bhutia, SK La irradiación gamma promueve el potencial de quimiosensibilización del ácido gálico mediante la atenuación del flujo autofágico para desencadenar la apoptosis en una vía de señalización de inactivación de NRF2. Radical libre. Biol. Medicina. 2020, 160, 111–124. [Referencia cruzada]

9. Srivastava, A.; Rikhari, D.; Pradhan, B.; Bharadwaj, KK; Gaballo, A.; Cuarta, A.; Jena, M.; Srivastava, S.; Ragusa, A. Una visión de los inhibidores de neuropéptidos en la biología del cáncer colorrectal: oportunidades y perspectivas traslacionales. Aplica. Ciencia. 2022, 12, 8990. [Referencia cruzada]

10. Gutiérrez Rodríguez, AG; Juárez-Portilla, C.; Olivares-Bañuelos, T.; Zepeda, RC Actividad anticancerígena de las algas marinas. Descubrimiento de drogas. Hoy 2018, 23, 434–447. [Referencia cruzada]

11. Jit, BP; Pattnaik, S.; Arya, R.; Dash, R.; Sahoo, SS; Pradhan, B.; Bhuyan, PP; Behera, PK; Jena, M.; Sharma, A.; et al. Fitoquímicos: un potencial agente de próxima generación para la radioprotección. Fitomed. En t. J. Phytother. Fitofarma. 2022, 2022, 154188. [CrossRef] [PubMed]

12. Jit, BP; Pradhan, B.; Dash, R.; Bhuyan, PP; Behera, C.; Behera, RK; Sharma, A.; Alcaraz, M.; Jena, M. Fitoquímicos: posibles moduladores terapéuticos de las vías de señalización inducidas por radiación. Antioxidantes 2022, 11, 49. [CrossRef] [PubMed]

13. Panigrahi, GK; Yadav, A.; Mandal, P.; Tripathi, A.; Das, M. Potencial inmunomodulador de la reina, un resto de antraquinona de las semillas de Cassia occidentalis. Toxico. Letón. 2016, 245, 15-23. [Referencia cruzada] [PubMed]

14. Ovadje, P.; Roma, A.; Steckle, M.; Nicoletti, L.; Arnason, JT; Pandey, S. Avances en la investigación y el desarrollo de productos naturales para la salud como terapias convencionales contra el cáncer. Evidente. Complemento basado. Alternativo. Medicina. 2015, 2015, 751348. [CrossRef] [PubMed]

15. Patra, S.; Nayak, R.; Patro, S.; Pradhan, B.; Sahu, B.; Behera, C.; Butia, SK; Jena, M. Diversidad química de fitoquímicos dietéticos y su modo de quimioprevención. Biotecnología. Rep. (Amst. Neth.) 2021, 30, e00633. [Referencia cruzada]

16. Patra, S.; Pradhan, B.; Nayak, R.; Behera, C.; Das, S.; Patra, SK; Efferth, T.; Jena, M.; Bhutia, SK Polifenoles dietéticos en quimioprevención y efecto sinérgico en el cáncer: evidencia clínica y mecanismos moleculares de acción. Fitomed. En t. J. Phytother. Fitofarma. 2021, 90, 153554. [CrossRef] [PubMed]

17. Patra, S.; Pradhan, B.; Nayak, R.; Behera, C.; Panda, Kansas; Das, S.; Jena, M. Apoptosis y autofagia que modulan los fitoquímicos dietéticos en la terapéutica del cáncer: evidencia actual y perspectivas futuras. Fitoter. Res. 2021, 35, 4194–4214. [Referencia cruzada]

18. Patra, S.; Pradhan, B.; Nayak, R.; Behera, C.; Ruta, L.; Jena, M.; Efferth, T.; Bhutia, SK Eficacia quimioterapéutica de la curcumina y el resveratrol contra el cáncer: quimioprevención, quimioprotección, sinergismo farmacológico y farmacocinética clínica. En Actas de los Seminarios de Biología del Cáncer; Prensa académica: Cambridge, MA, EE. UU., 2021; págs. 310–320.

19. Wilson, RM; Danishefsky, SJ Productos naturales de molécula pequeña en el descubrimiento de agentes terapéuticos: la conexión de síntesis. J. Org. Química. 2006, 71, 8329–8351. [Referencia cruzada] [PubMed]

20. Simmons, TL; Andrianasolo, E.; McPhail, K.; Flatt, P.; Gerwick, WH Productos marinos naturales como fármacos anticancerígenos. Mol. Cáncer Ther. 2005, 4, 333–342. [Referencia cruzada]

21. Carroll, AR; Copp, BR; Davis, RA; Keyzers, RA; Prinsep, MR Productos naturales marinos. Nat. Pinchar. Representante 2019, 36, 122-173. [Referencia cruzada] [PubMed]

22. Shinde, P.; Banerjee, P.; Mandhare, A. Productos naturales marinos como fuente de nuevos medicamentos: una revisión de patentes (2015-2018). Opinión de expertos. El r. Palmadita. 2019, 29, 283–309. [Referencia cruzada] 23. Pradhan, B.; Kim, H.; Abbasi, S.; Ki, J.-S. Efectos tóxicos y actividad de promoción de tumores de las toxinas del fitoplancton marino: una revisión. Toxinas 2022, 14, 397. [CrossRef]

24. Pradhan, B.; Nayak, R.; Bhuyan, PP; Patra, S.; Behera, C.; Sahoo, S.; Ki, J.-S.; Cuarta, A.; Ragusa, A.; Jena, M. Florotaninos de algas como nuevos agentes antibacterianos relacionados con la modulación antioxidante: avances actuales y direcciones futuras. Mar. Drogas 2022, 20, 403. [CrossRef] [PubMed]

25. Pradhan, B.; Ki, J.-S. Toxinas de fitoplancton y sus posibles aplicaciones terapéuticas: un viaje hacia la búsqueda de productos farmacéuticos potentes. Mar. Drogas 2022, 20, 271. [CrossRef] [PubMed]

26. Pradhan, B.; Maharana, S.; Bhakta, S.; Jena, M. Diversidad de fitoplancton marino de la costa de Odisha, India, con especial referencia al nuevo registro de diatomeas y dinoflagelados. Vegetos 2021, 35, 330–344. [Referencia cruzada]

27. Behera, C.; Dash, SR; Pradhan, B.; Jena, M.; Adhikary, SP Diversidad de algas del lago Ansupa, Odisha, India. Nelumbo 2020, 62, 207–220. [Referencia cruzada]

28. Behera, C.; Pradhan, B.; Panda, R.; Nayak, R.; Nayak, S.; Jena, M. Diversidad de algas de las salinas, Huma (Ganjam), India. J. Bot indio. Soc. 2021, 101, 107–120. [Referencia cruzada]

29. Dash, S.; Pradhan, B.; Behera, C.; Jena, M. Diversidad de algas del lago Kanjiahata, Nandankanan, Odisha, India. J. Bot indio. Soc. 2020, 99, 11-24. [Referencia cruzada]

30. Dash, S.; Pradhan, B.; Behera, C.; Nayak, R.; Jena, M. Flora de algas del lago Tampara, Chhatrapur, Odisha, India. J. Bot indio. Soc. 2021, 101, 1–15. [Referencia cruzada]

31. Maharana, S.; Pradhan, B.; Jena, M.; Misra, MK Diversidad de fitoplancton en la laguna Chilika, Odisha, India. Reinar. Eco 2019, 37, 737–746.

32. Mohanty, S.; Pradhan, B.; Patra, S.; Behera, C.; Nayak, R.; Jena, M. Detección de compuestos bioactivos nutritivos en algunas cepas de algas aisladas de la costa de Odisha. J. Adv. Ciencia vegetal. 2020, 10, 1–8.

33. Pradhan, B.; Patra, S.; Dash, SR; Satapatía, Y.; Nayak, S.; Mandal, Alaska; Jena, M. Actividad antidiabética, antiinflamatoria y antibacteriana in vitro de compresas de algas marinas Enteromorpha recolectadas de la laguna Chilika, Odisha, India. Vegetos 2022, 35, 614–621. [Referencia cruzada]

34. Pradhan, B.; Nayak, R.; Patra, S.; Bhuyan, PP; Behera, PK; Mandal, Alaska; Behera, C.; Ki, J.-S.; Adhikary, SP; Mubarak Ali, D.; et al. Una revisión de los últimos avances sobre el fucoidan como agente antiviral para combatir las infecciones virales. Carbohidrato. Polimero. 2022, 2022, 119551. [CrossRef] [PubMed]

35. Pradhan, B.; Nayak, R.; Patra, S.; Bhuyan, PP; Dash, SR; Ki, J.-S.; Adhikary, SP; Ragusa, A.; Jena, M. Cianobacterias y metabolitos bioactivos derivados de algas como agentes antivirales: evidencia, modo de acción y alcance para una mayor expansión; Una revisión exhaustiva a la luz del brote de SARS-CoV-2. Antioxidantes 2022, 11, 354. [CrossRef] [PubMed]

36. Pradhan, B.; Patra, S.; Dash, SR; Nayak, R.; Behera, C.; Jena, M. Evaluación de la actividad antibacteriana del extracto metanólico de Chlorella vulgaris Beyerinck [Beijerinck] con especial referencia a la modulación antioxidante. Futuro J. Pharm. Ciencia. 2021, 7, 17. [Referencia cruzada]

37. Pradhan, B.; Patra, S.; Behera, C.; Nayak, R.; Jit, BP; Ragusa, A. Investigación preliminar de la actividad antioxidante, antidiabética y antiinflamatoria de los extractos de Enteromorpha intestinal lis. Moléculas 2021, 26, 1171. [CrossRef]

38. Pradhan, B.; Patra, S.; Behera, C.; Nayak, R.; Patil, S.; Butia, SK; Jena, M. Enteromorpha comprimir un extracto induce actividad anticancerígena mediante apoptosis y autofagia en el cáncer oral. Mol. Biol. Representante 2020, 47, 9567–9578. [Referencia cruzada]

39. Cumashi, A.; Ushakova, NA; Preobrazhenskaya, ME; D'Incecco, A.; Piccoli, A.; Totani, L.; Tinari, N.; Morozevich, GE; Berman, AE; Bilan, MI Un estudio comparativo de las actividades antiinflamatorias, anticoagulantes, antiangiogénicas y antiadhesivas de nueve fucoidanos diferentes de algas pardas. Glicobiología 2007, 17, 541–552. [Referencia cruzada]

40. Park, HY; Han, MH; Parque, C.; Jin, C.-Y.; Kim, G.-Y.; Choi, I.-W.; Kim, Dakota del Norte; Nam, T.-J.; Kwon, TK; Choi, YH Efectos antiinflamatorios del fucoidan mediante la inhibición de la activación de NF-κB, MAPK y Akt en células de microglia BV2 inducidas por lipopolisacáridos. Química de los alimentos. Toxico. 2011, 49, 1745–1752. [Referencia cruzada]


También podría gustarte